好久不见了各位,今天我想跟大家探讨一下关于“问道怎么把装备属性变成满的”的问题。如果你还不了解这方面的内容,那么这篇文章就是为你准备的,请跟我一起来探索一下。

问道装备进化后属性不满
问道装备进化后属性不满解决方法如下:装备进化后,可以提升装备的穿戴等级,进化一次加1级,每件装备最多进化19次。装备进化后,基础属性、改造属性、套装暗属性都将按进化后进行使用。在问道手游中,装备进化后,属性也是会随着装备等级的提升而提升的,并不是所有属性都会增加。
附加属性不会变化,但上限可能提升:蓝、粉、黄色等附加属性值在装备进化后是不会变化的,但属性的上限可能会随着装备等级的提升而提升。这意味着虽然属性值本身不变,但装备在更高等级时可能具有更大的潜力。

被进化装备的最低等级为80级,完成进化流程的NPC是厉北七,进化过程中需要道具“天星石”该道具可以在NPC兑兑乐处用位列仙班天数来兑换。
在进化装备时,优先提升对伤害输出有较大影响的属性,如攻击力、法术强度等。避免盲目追求装备等级而忽视了属性的提升。激活装备套装效果:确保装备套装效果得到充分发挥,套装效果通常能提供额外的属性加成或特殊技能,这对于提升伤害输出至关重要。
例如,通过改造或镶嵌等方式)。总结:问道装备进化后,基础属性、改造属性、套装暗属性都会根据新的装备等级重新计算并提升,而附加属性的具体数值不变,但其上限会提升。因此,装备进化是提升角色实力的重要途径之一。玩家在进行装备进化时,应充分考虑装备等级、属性变化以及自身需求,以做出最优选择。
游戏问道的装备属性应如何强化?
问道装备的天然属性包括基础属性、特殊属性和灵性属性。提升这些属性的方法主要有装备强化、装备洗练、装备打孔、装备镶嵌、装备合成和装备炼化。问道装备天然属性 基础属性:这是装备最基础的属性,直接影响角色的战斗力,如攻击、防御、生命、法力等。
准备材料 装备:需求等级为60级以上的蓝装备、粉装备、金装备或绿装备,且装备上需要有可强化的附加属性。圣水晶或超级圣水晶:需要1块,用于启动强化过程。吸附了附加属性的黑水晶:需要1颗,且上面吸附的附加属性种类需与装备上需要强化的属性一致。
首先,玩家需要打开问道手游,并成功登录进入游戏界面。这是进行装备属性强化的前提。进入打造界面 在游戏主界面,玩家需要找到并点击“打造”按钮,进入打造界面。这个界面提供了装备打造、炼化、改造等多种功能。选择装备 在打造界面中,玩家需要选择“装备”选项,进入装备相关操作界面。
每次强化仅限一件装备,且装备的等级必须大于或等于60级。强化时,只能针对装备的一条原始附加属性进行。如果玩家希望强化的属性种类有两个,应选择数值较小的属性进行强化;如果数值相同,则随机选择一个进行强化。通过以上步骤和准备的材料,你可以成功强化问道装备,提升战斗力。
首先,打开问道手游并点击进入游戏。点击打造:在游戏主界面或相关菜单中,找到并点击“打造”选项。选择装备:在弹出的打造界面中,点击“装备”以进入装备相关的操作界面。进行炼化:在装备操作界面中,找到并点击“炼化”选项,这是进行装备属性强化的关键步骤。
因此,在强化前应考虑风险。强化顺序:建议按照初级强化、中级强化、高级强化的顺序进行,以确保装备属性得到全面提升。提高强化成功率的方法 使用高品质的强化材料。在强化前进行祈福。在强化时使用幸运符等道具。通过以上方法,玩家可以更有效地提升云兽装备的属性,从而在游戏中取得更好的战斗表现。
问道怎样把一条属性堆满
要把一条属性堆满,可以遵循以下几个关键步骤:详细研究游戏规则或装备说明:了解属性上限:首先,要明确游戏中该属性的最大上限是多少,以及是否存在其他限制条件。熟悉属性提升方式:研究游戏中提供属性提升的各种途径,如装备、技能、天赋等。挑选合适的装备和饰品:选择高属性装备:优先挑选那些能够提供大量目标属性加成的装备。
不断试验和调整是实现属性堆满的关键。每次尝试后,都要根据效果调整策略,找到最适合自己的属性堆满方案。坚持不懈并不断改进是成功的关键。这不仅需要时间,还需要玩家的耐心和智慧,不断探索和优化自己的属性配置。
使用超级黑水晶将金色装备的附加属性拆分出来,并附加到超级黑水晶中。装备重组:使用拆分出来的属性(超级黑水晶)和空白装备进行重组,生成一件拥有特定蓝色属性的蓝色装备。装备炼化:使用超级粉水晶将蓝色装备炼化成粉色装备,增加一条粉色属性。
制作绿属性装备。练小号,通过大号带小号双倍时间拿双,快速升级。杀妖魔道和白帮忙任务,获得经验和法药,升级后大号带小号修山,小号自动拉蓝,升级更快。练法攻高一点的宝宝到95级,给小号押镖,一星期最少押镖5000W。
问道装备进化满属性一览表,如何快速查看?装备进化属性如何提升?_百度...
打开游戏:首先,启动《问道》游戏客户端。进入角色界面:在游戏主界面,点击角色图标,进入角色界面。查看装备详情:在角色界面中,找到装备栏,选择要查看的装备,点击装备图标进入装备详情界面。查看进化属性:在装备详情界面中,点击“进化”按钮,即可查看该装备的进化属性。
装备强化:通过消耗强化材料和金钱,提升装备的基础属性和附加属性。强化等级越高,属性提升越明显。装备洗练:消耗洗练材料和金钱,随机生成装备的附加属性。玩家可根据需求选择合适的属性。装备打孔:为装备打孔后,可以镶嵌宝石,进一步提升装备属性。打孔需要消耗打孔材料和金钱。
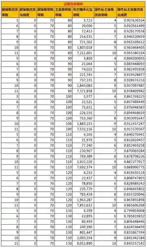
提交装备:选定需要进化的装备后,预览其进化后的属性变化。装备的基础属性、改造属性、套装暗属性将按进化后装备等级重新计算。消耗材料:进化必需的材料是“天星石”。装备等级越高,消耗的天星石数量越多。例如,70-79级、80-89级消耗1块天星石,90-99级消耗2块,以此类推。
装备满属性: 70级:满所有属性为14,单属性最高可达17。 80级:满所有属性为16,单属性最高可达20。 90级:满所有属性为18,单属性最高为22。 100级:满所有属性为20,单属性最高为25。 110级:满所有属性为22,单属性最高为27。 120级:满所有属性为24,单属性最高为30。
天星石:进化必需道具,装备等级越高,消耗的天星石越多。天星石可通过突破通天塔5层以上,在北斗星使处用元宝兑换获得。进化流程:点击打造-装备-进化进入装备进化界面。在界面中消耗天星石对装备进行进化。每次进化必定成功。
问道绿属性不满怎么办
制作绿属性装备。练小号,通过大号带小号双倍时间拿双,快速升级。杀妖魔道和白帮忙任务,获得经验和法药,升级后大号带小号修山,小号自动拉蓝,升级更快。练法攻高一点的宝宝到95级,给小号押镖,一星期最少押镖5000W。
通过集市购买:玩家可以前往游戏中的集市,寻找具有所需绿属性的武器。集市上通常有各种属性的装备出售,玩家可以根据自己的需求进行筛选和购买。手动制作绿装备:如果集市上没有合适的武器,玩家还可以选择手动制作。制作绿属性装备需要一件粉色装备和一颗绿水晶。
问道手游武器少个绿属性,可以通过以下方式解决:了解绿属性的重要性 在问道手游中,绿属性装备是形成套装效果的关键。只有当帽子、衣服、鞋子和武器的绿属性相同时,才能激发装备套装效果,从而获得额外的暗属性加成。因此,缺少任意一件绿属性装备,都会影响到套装效果的激发。
综上所述,当问道手游中的武器缺少绿属性时,玩家可以通过购买或制作绿属性武器来解决问题,并确保所有装备的绿属性一致以激发套装效果。
好了,今天关于问道怎么把装备属性变成满的就到这里了。希望大家对问道怎么把装备属性变成满的有更深入的了解,同时也希望这个话题问道怎么把装备属性变成满的的解答可以帮助到大家。